Skip to content
  • 9620104509
  • svipcbse@gmail.com
Notice : - Click Here for Admission Enquiry (2026–27)
Swami Vivekananda International Public (CBSE) School

Swami Vivekananda International Public (CBSE) School

  • Home
  • About Us
    • President Words
    • Principal’s Message
    • Our Vision
    • Our Mission
  • Teachers List 2025-56
  • Mandatory Disclosure
    • Mandatory Disclosures
    • Drinking Water Safety
    • Building Safety
    • Recognition
    • Cleanliness & Hygiene
    • Land Certificate
    • NOC
    • Fire Safety
    • Managment
    • Society Registration
  • Photo Gallery
    • 2025-26
      • Annual Day 2026 – Ek Bharat Divya Avatar
      • Karnataka Rajyotsava 2025-26
      • Children’s Day
      • Happy Classroom
  • Contact Us
  • School Timetable

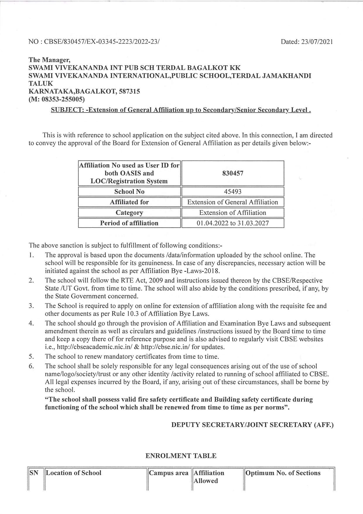
Recognition

Download PDF Affiliation Extension

© 2026 Swami Vivekananda School. All rights reserved.